近几十年来,日益严重的污染和能源短缺使得研究人员开始关注可再生能源。太阳能作为一种对环境友好、成本低廉的可再生能源,因其资源丰富和经济优势而发展迅速。在太阳能的各种应用中,通过将吸收的太阳能转化为热能的直接吸收太阳能集热器(DASCs)是最有前途和最方便的选择之一。其原理是通过工作流体直接吸收阳光,并将其转化为热能。与传统的基于表面的太阳能集热器相比,DASCs由于其较低的热损失和较高的光热转换效率,具有广泛的应用潜力。但常规流体的光吸收能力较低,限制了DASCs的发展。后来。通过将纳米颗粒和基液混合形成悬液,得到的纳米流体。纳米颗粒良好的光吸收和热导率提高了纳米流体的光热特性,从而提高了DASCs的整体吸热率。
纳米流体的光热特性一直是DASCs研究的热点。目前,纳米流体在中温领域的应用研究较少。低比热容的液体在相同的太阳辐射下可以达到更高的温度,这扩展了纳米流体在中温领域下的应用。近日,上海先进热功能材料工程技术研究中心的研究团队提出将尿素/氯化胆碱(ChCl)低共熔溶剂(DES)作为一种新的基液。与水相比,该DES具有较高的沸点和较小的比热容,在DASCs中表现出更好的光热性能。采用加热法制备DES,其光热转换率能达到56.9%,比水和乙二醇(EG)的光热转换率分别高出36.4%和11%。实验研究表明,40 ppm DES基石墨烯纳米流体的光热转换效率高达94.3%,当太阳辐射提高到2000W•m-2时,其最高温度可达115℃。此外,DES基石墨烯纳米流体表现出极大的稳定性,在45天内不会发生沉淀。这些研究验证了DES基石墨烯纳米流体具有较高品位能,从而扩大了低共熔溶剂基纳米流体的应用范围。


图1.DES和纳米流体的制备过程

图2.光热转换实验测试系统

图3.石墨烯的SEM和尿素、氯化胆碱、DES的红外

图4. DES基石墨烯纳米流体稳定性测试

图5. DES基石墨烯纳米流体光学性能测试

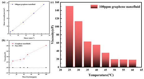
图6. DES基石墨烯纳米流体粘度测试

图7. 1000W•m-2下DES基石墨烯纳米流体光热性能测试

图8. 2000W•m-2下DES基石墨烯纳米流体光热性能测试
传统的纳米流体在DASCs中存在比热容大和容易颗粒聚集的缺点,这是造成光热效率低的重要原因。本文以高沸点、稳定性好、比热容小的尿素/氯化胆碱DES为纳米流体基液,其表现出了优异的光热性能。制备了不同质量浓度(0ppm、10ppm、30ppm、40ppm、50ppm、100ppm)的DES基石墨烯纳米流体,并对其性能进行了测试。主要研究结果如下:(i)纯DES的光热效率比水的光热转化率高36.4%。这是因为DES的比热容较小,在相同的热量下,它能达到更高的温度。此外,与水和EG相比,DES的平衡温度也最高,可达45.4℃。(ii)石墨烯的加入提高了DES的光热转换效率。40ppm石墨烯纳米流体的光热转换效率最高,为94.3%。特别是当太阳辐射为2000W•m-2时,40ppm石墨烯纳米流体的最高温度可达116°C。这为纳米流体在高温下的应用提供了一条可行的途径。(iii)DES基石墨烯纳米流体45天前后的透射光谱表明,DES基石墨烯纳米流体保持了良好的稳定性,几乎没有纳米颗粒的沉积和团聚。这些研究证明了DES基石墨烯纳米流体在DASCs上应用的潜力。
该成果以“Graphene-based deep eutectic solvent nanofluids with high photothermal conversion and high-grade energy”为题发表在中科院一区TOP期刊Renewable Energy上,太阳成集团硕士研究生高婧琼为第一作者,太阳成集团122ccvip于伟教授和西安交通大学化学与工程公司Omid Mahian教授为共同通讯作者。



